免费色情影片

科研成果

科研成果

您现在所在的位置: 免费色情影片 >> 科学研究 >> 科研成果 >> 正文

杨鹏老师在《Applied Catalysis B: Environmental》杂志发表学术成果

发布日期:2018-12-31    点击次数:

教师科研快讯  

 

杨鹏老师在《Applied Catalysis B: Environmental》杂志发表学术成果  

 

日期: 2018-12-30     供稿:材料化学与工程系  

 

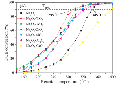
20181230日,免费色情影片教师杨鹏博士在化学工程、环境科学相关领域重要期刊《Applied Catalysis B: Environmental》(2018年影响因子IF14.229)在线发表题为Synthesis of Nb2O5 based solid superacid materials for catalytic combustion of chlorinated VOCs的学术成果(文章链接//doi.org/10.1016/j.apcatb.2018.07.061)。  

 

Catalytic combustion of DCE onNb2O5based catalysts.  

 

论文的第一作者为杨鹏博士,我校为第一完成单位和通讯单位。本研究工作发现的Nb2O5复合氧化物材料,可分别具有不同的酸碱性质研究结果表明,催化材料的表面酸性有助于含氯有机物的催化降解,而碱性中心的引入则会降低其催化性能。优化后的催化剂,具有较好的催化燃烧性能,可在较低反应温度实现对几种典型挥发性有机物的深度氧化,对VOCs的综合治理具有较好的工业应用前景。英文摘要如下  

Abstract  

Nb2O5 based solid superacids (Nb2O5-MOx, M = Ti, W, Zr, Si, Al and Ca, respectively) were synthesized by sol-gel method using citric acid as the cross-linking agent, and then were investigated for catalytic combustion of 1,2-dichloroethane (abbreviation: DCE), one of the typical examples for chlorinated VOCs pollutants. The research results of the structure-performance relationship show that mesopore and amorphous state structure are formed for Nb2O5-MOx, and the metal elements are highly dispersed, which contribute to enhancing the metal-metal interaction and modifying the physicochemical properties of the catalysts. The order for the inherent catalytic activity is: Nb2O5-WO3Nb2O5-ZrO2Nb2O5-TiO2>>Nb2O5-Al2O3Nb2O5Nb2O5-CaO. There exists synergistic catalytic effect: the mesopore and surface acidity facilitate the adsorption, activation and destruction of the C-Cl bond in the reactants to form HCl and byproduct C2H3Cl (or carbocation intermediate), and then the redox sites promote deep oxidation of the byproduct/intermediate to convert to CO2 and H2O. Especially, the Nb2O5-TiO2 catalyst represents the highest apparent catalytic degradation activity. It also represents good thermal stability and durability for DCE destruction as well as good resistance to water vapor.  

 

该工作国家自然科学基金免费色情影片 等经费资助。2016年参加工作以来,杨鹏老师利用环境催化学科的最新研究方法,发展了系列固体酸材料应用VOCs(尤其是含氯挥发性有机污染物)治理领域,在研究我国铌矿、稀土元素复合材料的深层次加工和工业应用方面已经取得了系列成果,发表SCI论文二十余篇  

联系我们
版权所有:免费色情影片-免费性爱视频
电话:0575-88341521
欢迎拨打招生就业热线
0575-88342383
微信公众号